Официальное опубликование правовых актов
ОФИЦИАЛЬНОЕ ОПУБЛИКОВАНИЕ
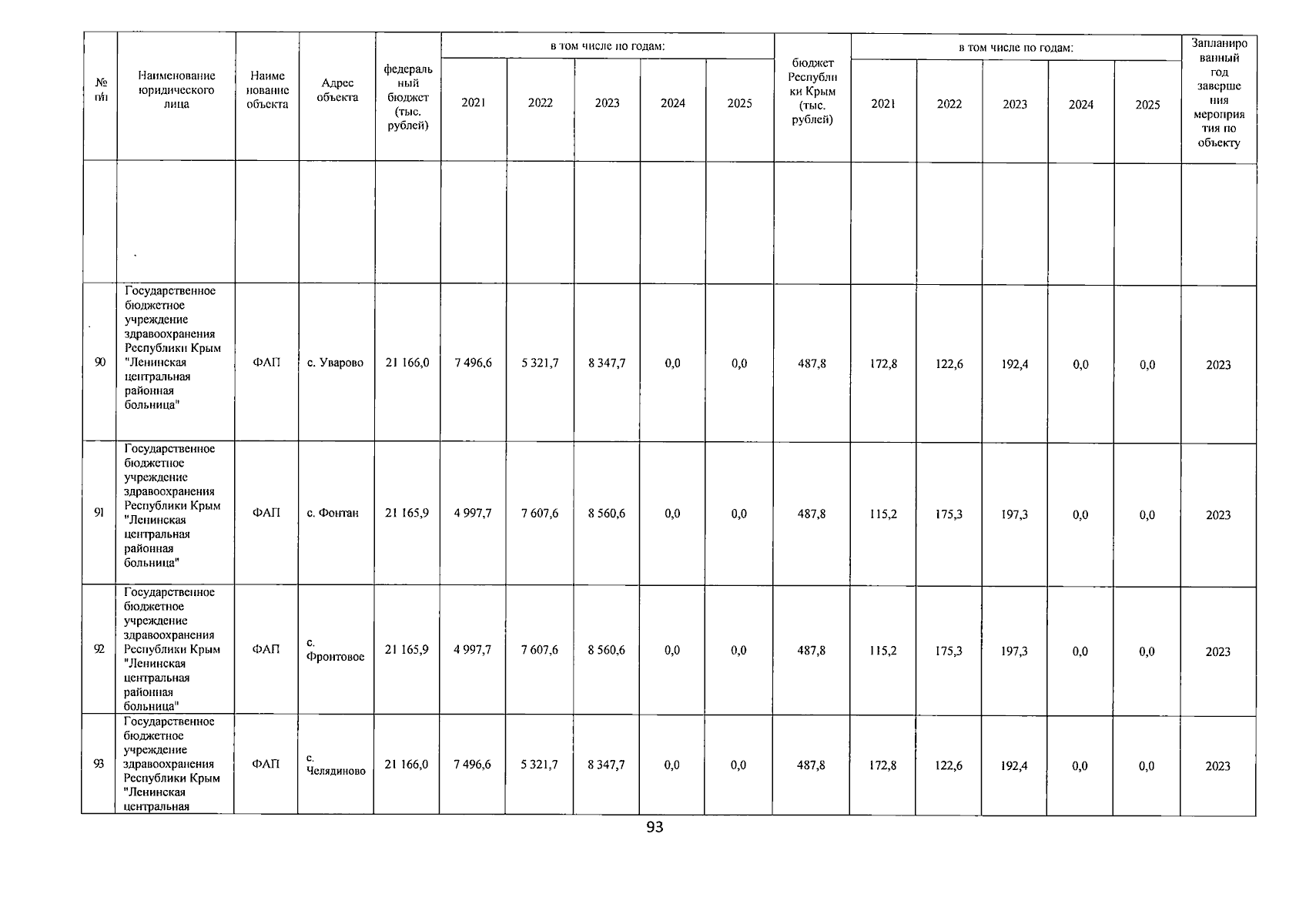
Постановление Совета министров Республики Крым от 28.12.2023 № 983
"О внесении изменений в постановление Совета министров Республики Крым от 15 декабря 2020 года № 791"
Номер опубликования: 9100202401050005
Дата опубликования: 05.01.2024
Страница №93 из 180:
Увеличить