Официальное опубликование правовых актов
ОФИЦИАЛЬНОЕ ОПУБЛИКОВАНИЕ
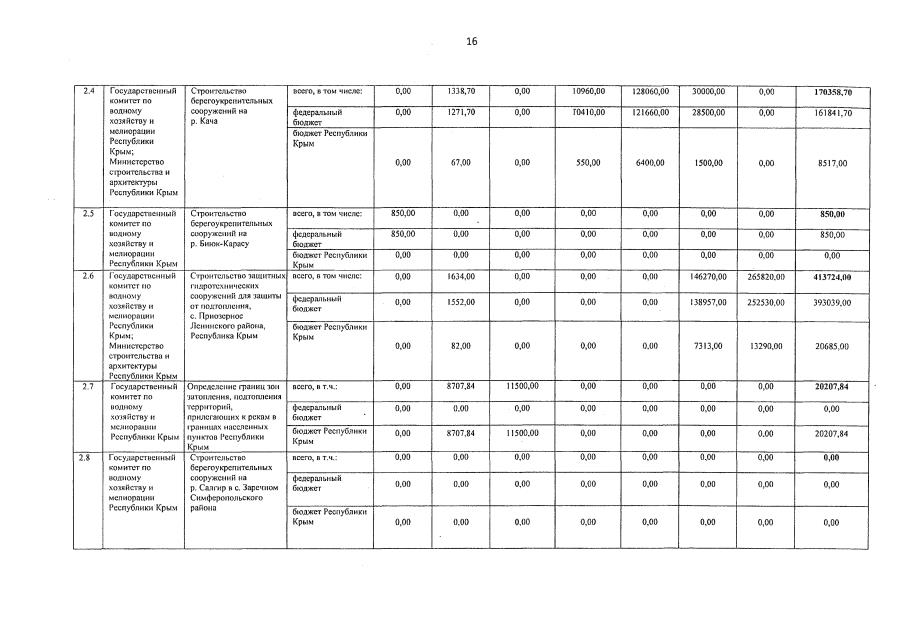
Постановление Совета министров Республики Крым от 15.03.2021 № 144
"О внесении изменений в постановление Совета министров Республики Крым от 22 ноября 2016 года № 566"
Номер опубликования: 9100202103160021
Дата опубликования: 16.03.2021
Страница №16 из 24:
Увеличить