Официальное опубликование правовых актов
ОФИЦИАЛЬНОЕ ОПУБЛИКОВАНИЕ
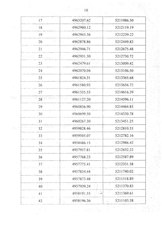
Постановление Совета министров Республики Крым от 19.02.2021 № 97
"О внесении изменений в постановление Совета министров Республики Крым от 30 декабря 2015 года № 875"
Номер опубликования: 9100202102240007
Дата опубликования: 24.02.2021
Страница №10 из 11:
Увеличить