Официальное опубликование правовых актов
ОФИЦИАЛЬНОЕ ОПУБЛИКОВАНИЕ
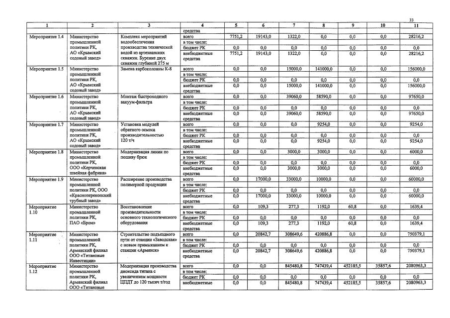
Постановление Совета министров Республики Крым от 25.12.2020 № 855
"О внесении изменений в постановление Совета министров Республики Крым от 12 декабря 2017 года № 665"
Номер опубликования: 9100202012300005
Дата опубликования: 30.12.2020
Страница №33 из 45:
Увеличить