Официальное опубликование правовых актов
ОФИЦИАЛЬНОЕ ОПУБЛИКОВАНИЕ
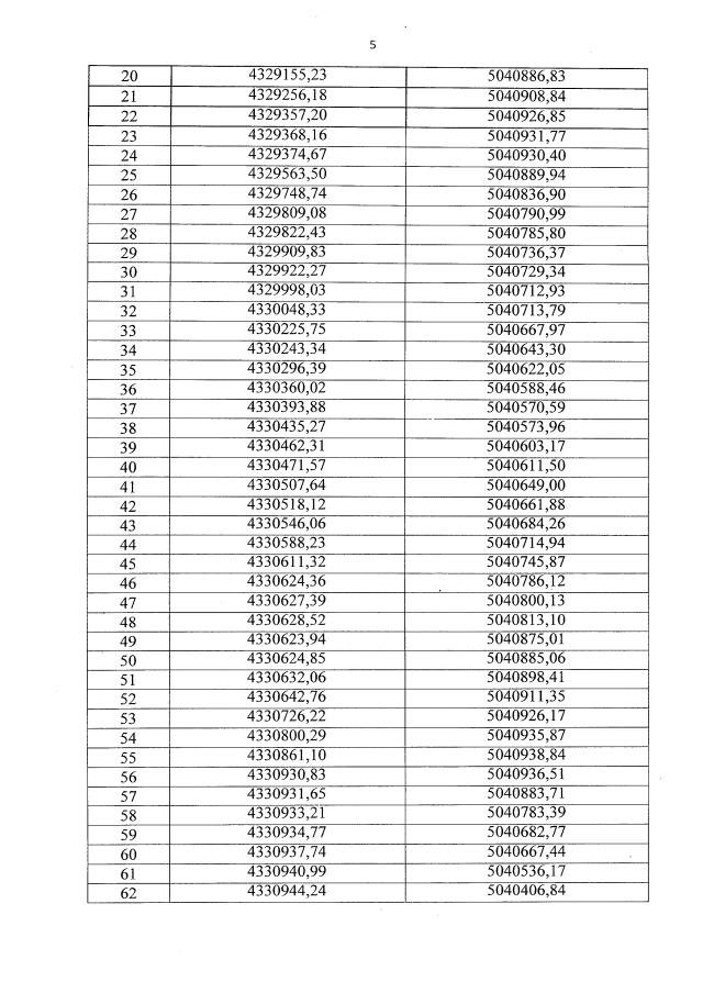
Постановление Совета министров Республики Крым от 16.09.2020 № 581
"Об установлении границ и режима округа горно-санитарной охраны лечебно-оздоровительной местности местного значения "Джарылгачская" Республики Крым"
Номер опубликования: 9100202009210008
Дата опубликования: 21.09.2020
Страница №5 из 20:
Увеличить