Официальное опубликование правовых актов
ОФИЦИАЛЬНОЕ ОПУБЛИКОВАНИЕ
Указ Главы Республики Крым от 06.08.2020 № 255-У
"О внесении изменений в Указ Главы Республики Крым от 8 мая 2020 года № 149-У"
Номер опубликования: 9100202008100028
Дата опубликования: 10.08.2020
Страница №8 из 13:
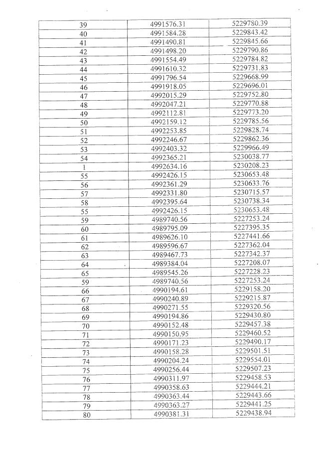
Увеличить