Официальное опубликование правовых актов
ОФИЦИАЛЬНОЕ ОПУБЛИКОВАНИЕ
Постановление Совета министров Республики Крым от 06.08.2020 № 467
"О внесении изменений в постановление Совета министров Республики Крым от 21 ноября 2018 года № 574"
Номер опубликования: 9100202008100020
Дата опубликования: 10.08.2020
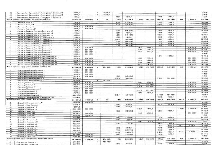
Страница №34 из 51:
Увеличить