Официальное опубликование правовых актов
ОФИЦИАЛЬНОЕ ОПУБЛИКОВАНИЕ
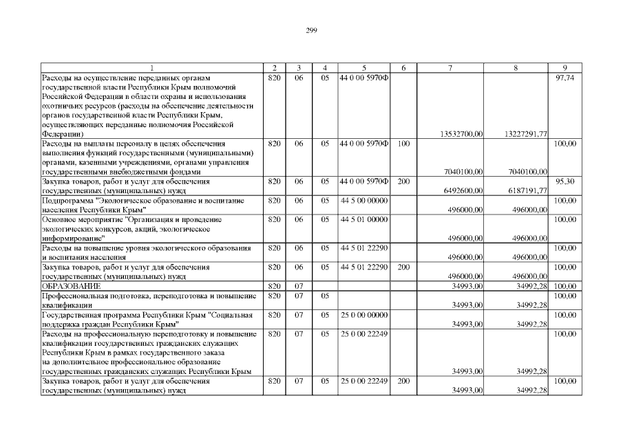
Закон Республики Крым от 26.06.2020 № 91-ЗРК/2020
"Об исполнении бюджета Республики Крым за 2019 год"
Номер опубликования: 9100202007030002
Дата опубликования: 03.07.2020
Страница №299 из 402:
Увеличить