Официальное опубликование правовых актов
ОФИЦИАЛЬНОЕ ОПУБЛИКОВАНИЕ
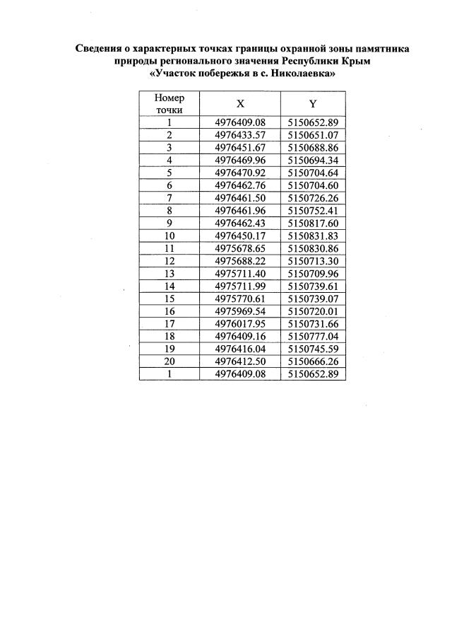
Указ Главы Республики Крым от 08.05.2020 № 155-У
"Об установлении охранной зоны памятника природы регионального значения Республики Крым "Участок побережья в с. Николаевка"
Номер опубликования: 9100202005150011
Дата опубликования: 15.05.2020
Страница №3 из 6:
Увеличить