Официальное опубликование правовых актов
ОФИЦИАЛЬНОЕ ОПУБЛИКОВАНИЕ
Указ Главы Республики Крым от 08.05.2020 № 152-У
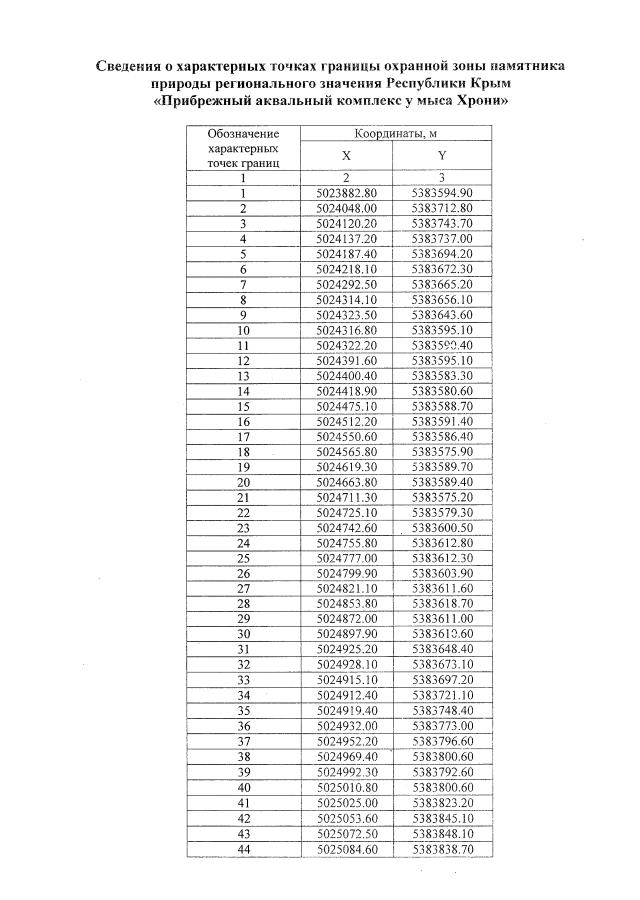
"Об установлении охранной зоны памятника природы регионального значения Республики Крым "Прибрежный аквальный комплекс у мыса Хрони"
Номер опубликования: 9100202005150003
Дата опубликования: 15.05.2020
Страница №3 из 11:
Увеличить