Официальное опубликование правовых актов
ОФИЦИАЛЬНОЕ ОПУБЛИКОВАНИЕ
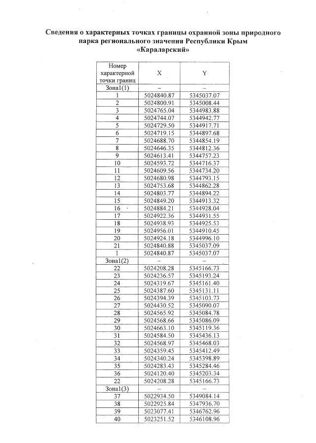
Указ Главы Республики Крым от 08.05.2020 № 148-У
"Об установлении охранной зоны природного парка регионального значения Республики Крым "Караларский"
Номер опубликования: 9100202005150001
Дата опубликования: 15.05.2020
Страница №5 из 11:
Увеличить