Указ Главы Республики Крым от 08.05.2020 № 144-У
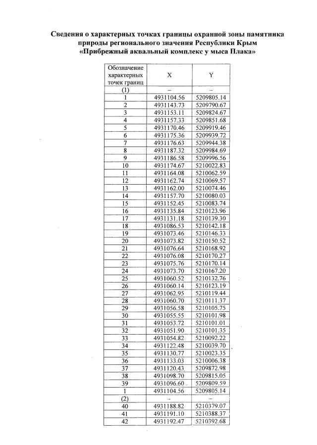
"Об установлении охранной зоны памятника природы регионального значения Республики Крым "Прибрежный аквальный комплекс у мыса Плака"
"Об установлении охранной зоны памятника природы регионального значения Республики Крым "Прибрежный аквальный комплекс у мыса Плака"
Номер опубликования: 9100202005130007
Дата опубликования:
13.05.2020
