Официальное опубликование правовых актов
ОФИЦИАЛЬНОЕ ОПУБЛИКОВАНИЕ
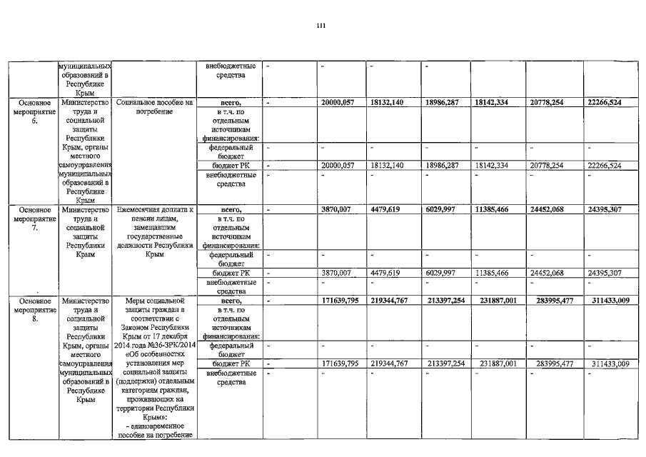
Постановление Совета министров Республики Крым от 28.02.2020 № 108
"О внесении изменений в постановление Совета министров Республики Крым от 28 декабря 2015 года № 842 и признании утратившим силу постановления Совета министров Республики Крым от 9 декабря 2019 года № 699"
Номер опубликования: 9100202003040013
Дата опубликования: 04.03.2020
Страница №111 из 148:
Увеличить