Официальное опубликование правовых актов
ОФИЦИАЛЬНОЕ ОПУБЛИКОВАНИЕ
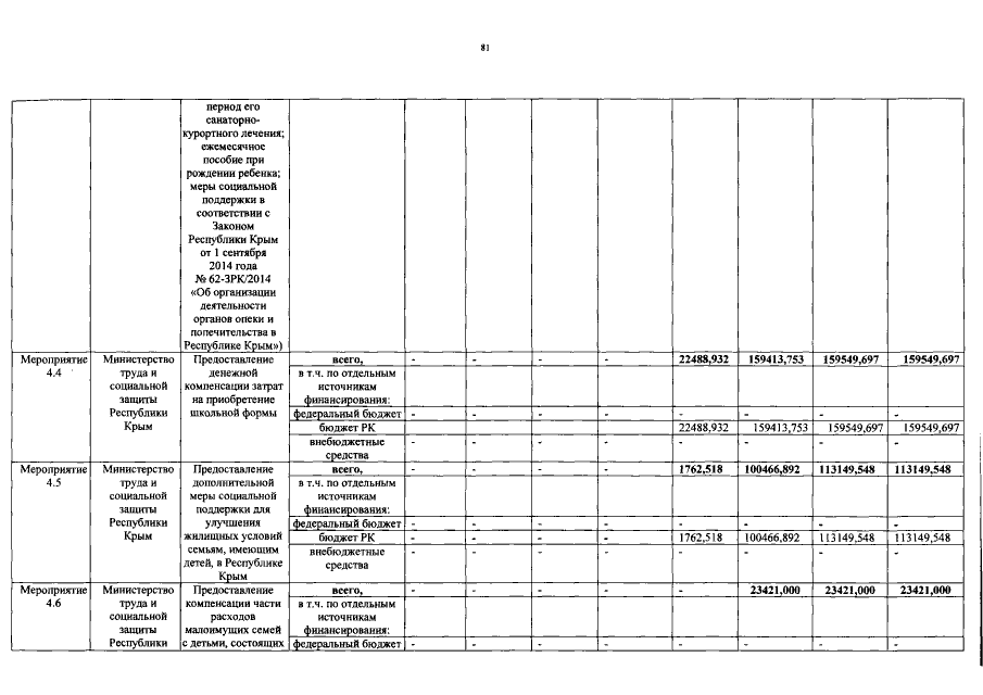
Постановление Совета министров Республики Крым от 28.02.2020 № 109
"О внесении изменений в постановление Совета министров Республики Крым от 28 декабря 2015 года № 842"
Номер опубликования: 9100202003040008
Дата опубликования: 04.03.2020
Страница №81 из 94:
Увеличить