Официальное опубликование правовых актов
ОФИЦИАЛЬНОЕ ОПУБЛИКОВАНИЕ
Постановление Совета министров Республики Крым от 30.01.2020 № 38
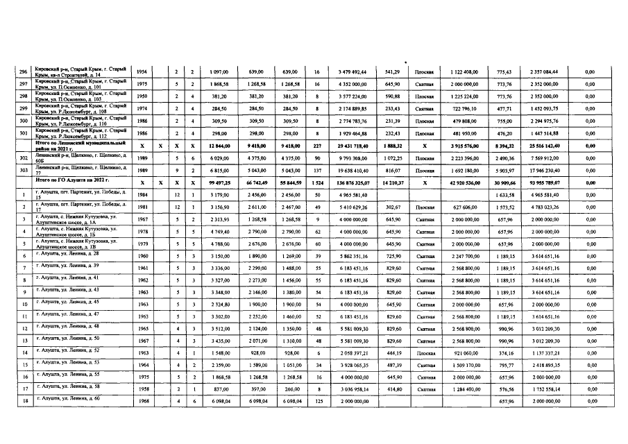
"Об утверждении Региональной адресной программы "Проведение капитального ремонта фасадов и кровель многоквартирных домов, расположенных на территории Республики Крым, на 2020 – 2022 годы"
Номер опубликования: 9100202002030009
Дата опубликования: 03.02.2020
Страница №58 из 74:
Увеличить