Официальное опубликование правовых актов
ОФИЦИАЛЬНОЕ ОПУБЛИКОВАНИЕ
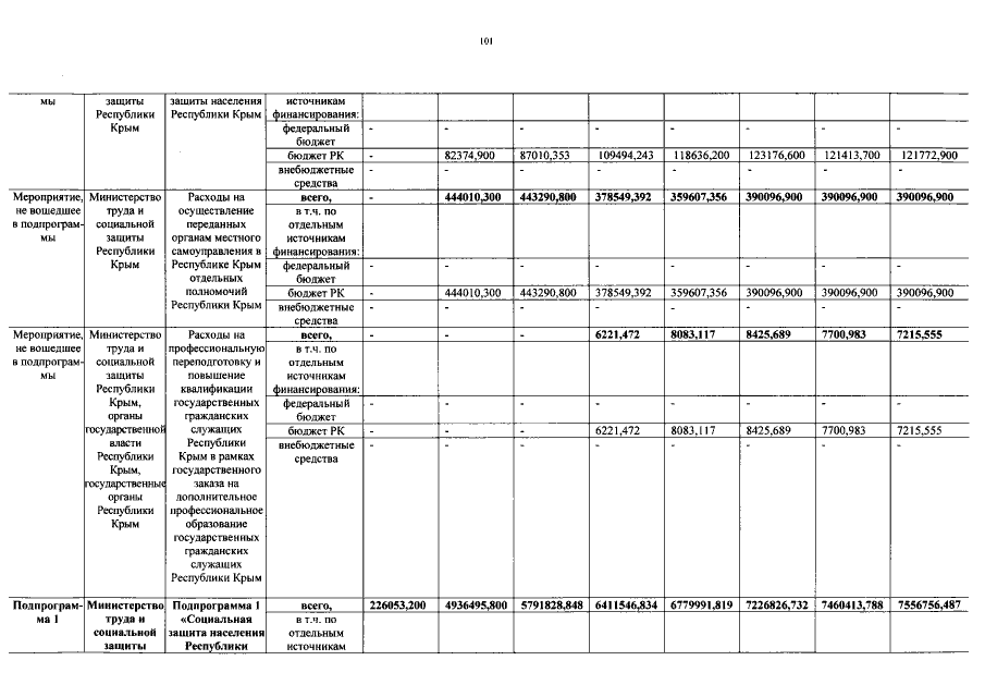
Постановление Совета министров Республики Крым от 09.12.2019 № 699
"О внесении изменений в постановление Совета министров Республики Крым от 28 декабря 2015 года № 842"
Номер опубликования: 9100201912130001
Дата опубликования: 13.12.2019
Страница №101 из 154:
Увеличить