Официальное опубликование правовых актов
ОФИЦИАЛЬНОЕ ОПУБЛИКОВАНИЕ
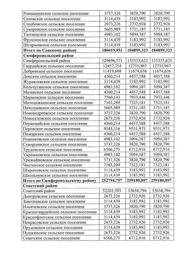
Постановление Совета министров Республики Крым от 12.11.2019 № 623
"О внесении изменений в некоторые постановления Совета министров Республики Крым"
Номер опубликования: 9100201911140005
Дата опубликования: 14.11.2019
Страница №13 из 14:
Увеличить