Официальное опубликование правовых актов
ОФИЦИАЛЬНОЕ ОПУБЛИКОВАНИЕ
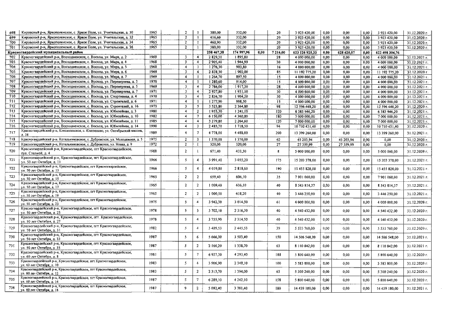
Постановление Совета министров Республики Крым от 27.08.2019 № 475
"О внесении изменений в постановление Совета министров Республики Крым от 21 ноября 2018 года № 574"
Номер опубликования: 9100201908290010
Дата опубликования: 29.08.2019
Страница №17 из 67:
Увеличить