Официальное опубликование правовых актов
ОФИЦИАЛЬНОЕ ОПУБЛИКОВАНИЕ
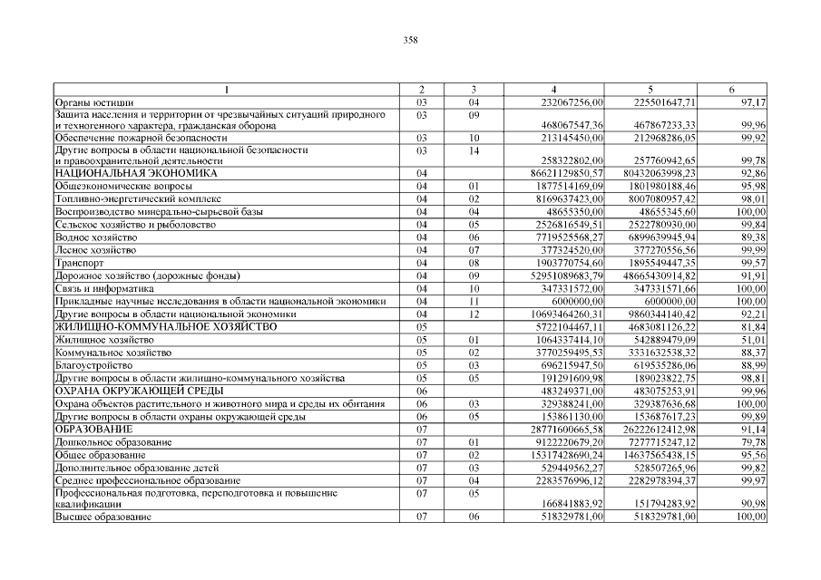
Закон Республики Крым от 02.07.2019 № 627-ЗРК/2019
"Об исполнении бюджета Республики Крым за 2018 год"
Номер опубликования: 9100201907030012
Дата опубликования: 03.07.2019
Страница №358 из 363:
Увеличить