Официальное опубликование правовых актов
ОФИЦИАЛЬНОЕ ОПУБЛИКОВАНИЕ
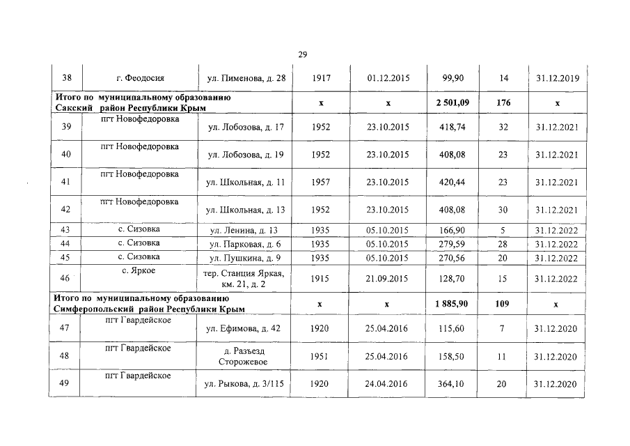
Постановление Совета министров Республики Крым от 11.06.2019 № 323
"О внесении изменений в постановление Совета министров Республики Крым от 1 апреля 2019 года № 182"
Номер опубликования: 9100201906190001
Дата опубликования: 19.06.2019
Страница №29 из 41:
Увеличить