Официальное опубликование правовых актов
ОФИЦИАЛЬНОЕ ОПУБЛИКОВАНИЕ
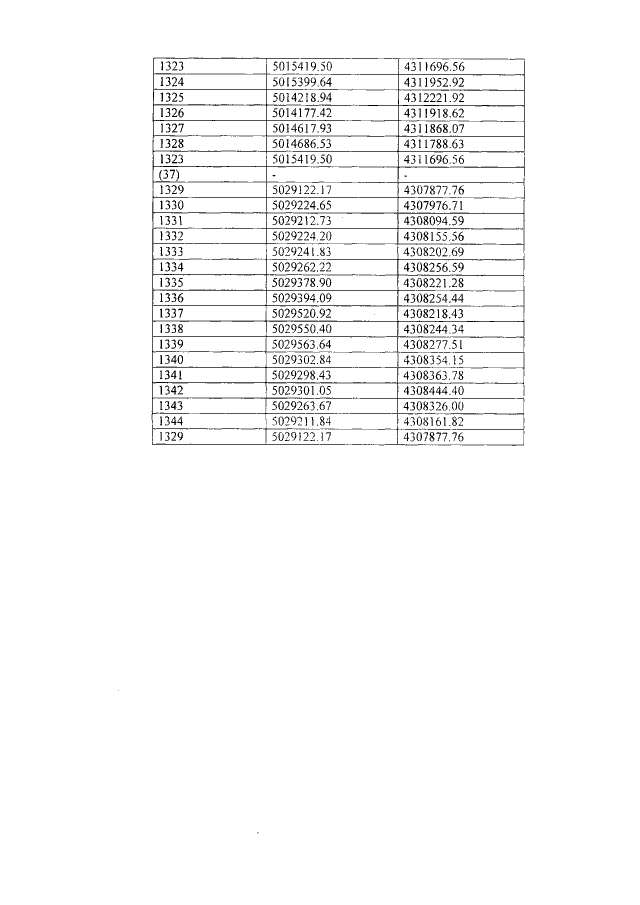
Указ Главы Республики Крым от 02.04.2019 № 161-У "Об установлении охранной зоны природного парка регионального значения Республики Крым "Тарханкутский"
Номер опубликования: 9100201904080031
Дата опубликования: 08.04.2019
Страница №33 из 36:
Увеличить