Официальное опубликование правовых актов
ОФИЦИАЛЬНОЕ ОПУБЛИКОВАНИЕ
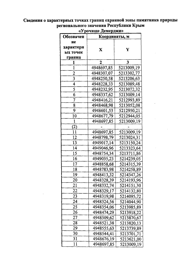
Указ Главы Республики Крым от 02.04.2019 № 154-У "Об установлении охранной зоны памятника природы регионального значения Республики Крым "Урочище Демерджи"
Номер опубликования: 9100201904080029
Дата опубликования: 08.04.2019
Страница №3 из 5:
Увеличить