Официальное опубликование правовых актов
ОФИЦИАЛЬНОЕ ОПУБЛИКОВАНИЕ
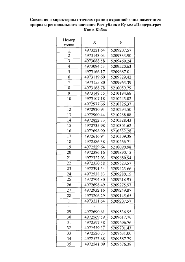
Указ Главы Республики Крым от 02.04.2019 № 140-У "Об установлении охранной зоны памятника природы регионального значения Республики Крым "Пещера-грот Киик-Коба"
Номер опубликования: 9100201904080010
Дата опубликования: 08.04.2019
Страница №3 из 6:
Увеличить