Официальное опубликование правовых актов
ОФИЦИАЛЬНОЕ ОПУБЛИКОВАНИЕ
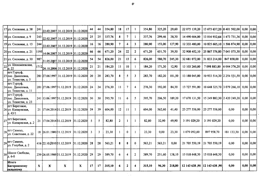
Постановление Совета министров Республики Крым от 29.12.2018 № 692
"О внесении изменений в постановление Совета министров Республики Крым от 29 марта 2018 года № 148"
Номер опубликования: 9100201901040022
Дата опубликования: 04.01.2019
Страница №4 из 12:
Увеличить