Официальное опубликование правовых актов
ОФИЦИАЛЬНОЕ ОПУБЛИКОВАНИЕ
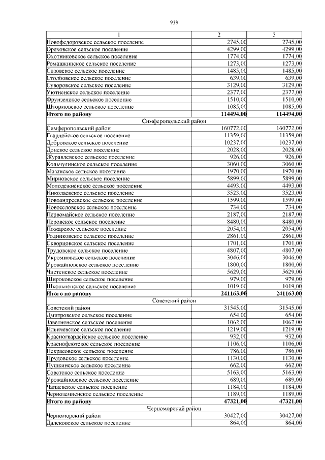
Закон Республики Крым от 20.12.2018 № 556-ЗРК/2018
"О бюджете Республики Крым на 2019 год и на плановый период 2020 и 2021 годов"
Номер опубликования: 9100201812280001
Дата опубликования: 28.12.2018
Страница №939 из 1011:
Увеличить