Официальное опубликование правовых актов
ОФИЦИАЛЬНОЕ ОПУБЛИКОВАНИЕ
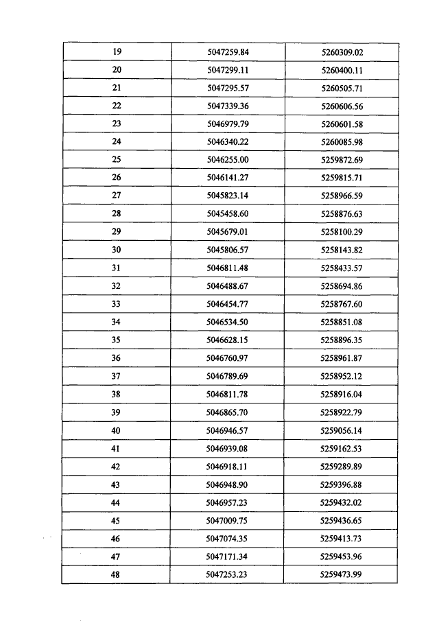
Постановление Совета министров Республики Крым от 17.12.2018 № 638
"О внесении изменений в постановление Совета министров Республики Крым от 24 мая 2016 года № 222"
Номер опубликования: 9100201812250002
Дата опубликования: 25.12.2018
Страница №118 из 165:
Увеличить