Официальное опубликование правовых актов
ОФИЦИАЛЬНОЕ ОПУБЛИКОВАНИЕ
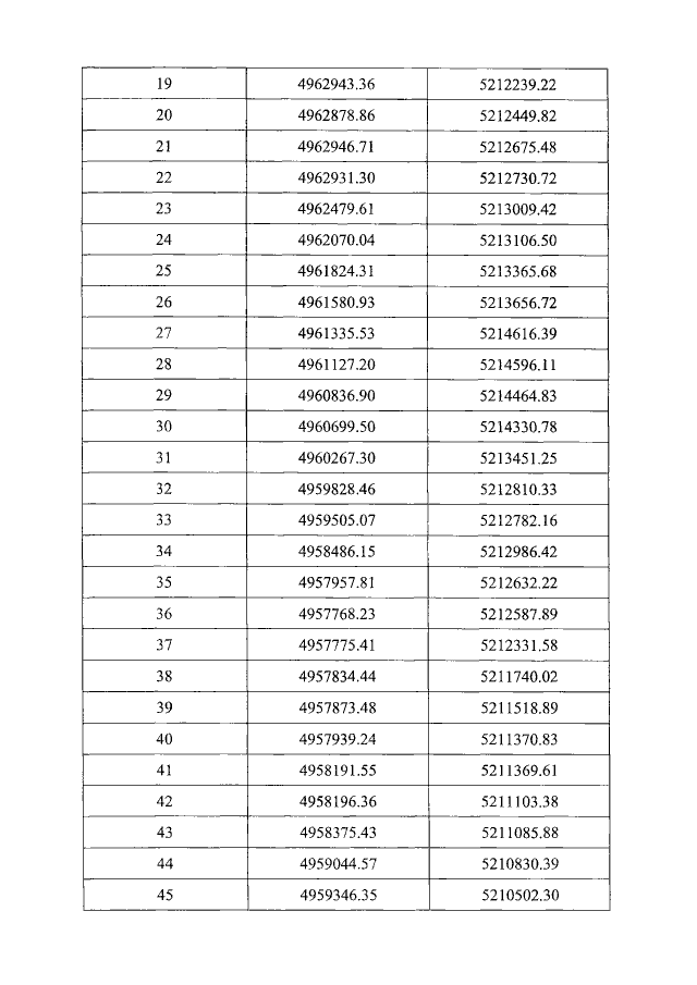
Постановление Совета министров Республики Крым от 26.11.2018 № 584 "О внесении изменений в постановление Совета министров Республики Крым от 30 декабря 2015 года № 875"
Номер опубликования: 9100201812030007
Дата опубликования: 03.12.2018
Страница №11 из 12:
Увеличить