Официальное опубликование правовых актов
ОФИЦИАЛЬНОЕ ОПУБЛИКОВАНИЕ
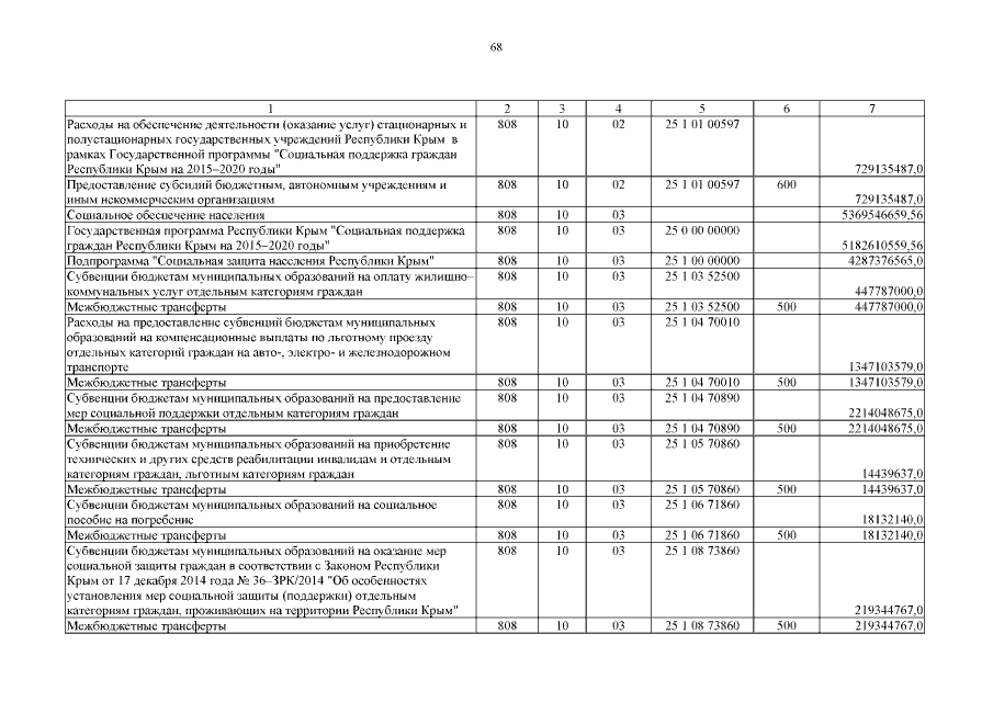
Закон Республики Крым от 11.12.2017 № 439-ЗРК/2017
"О внесении изменений в Закон Республики Крым "О бюджете Республики Крым на 2017 год"
Номер опубликования: 9100201712190009
Дата опубликования: 19.12.2017
Страница №68 из 423:
Увеличить