Официальное опубликование правовых актов
ОФИЦИАЛЬНОЕ ОПУБЛИКОВАНИЕ
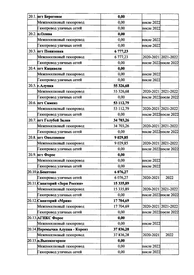
Постановление Совета министров Республики Крым от 05.12.2017 № 658
"Об утверждении Государственной программы Республики Крым "Газификация населенных пунктов Республики Крым"
Номер опубликования: 9100201712130001
Дата опубликования: 13.12.2017
Страница №74 из 75:
Увеличить