Официальное опубликование правовых актов
ОФИЦИАЛЬНОЕ ОПУБЛИКОВАНИЕ
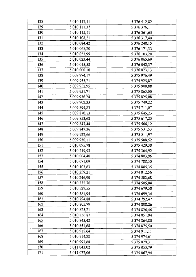
Постановление Совета министров Республики Крым от 27.11.2017 № 629
"О создании зон с особой архитектурно-планировочной организацией территории"
Номер опубликования: 9100201712040013
Дата опубликования: 04.12.2017
Страница №53 из 61:
Увеличить