Официальное опубликование правовых актов
ОФИЦИАЛЬНОЕ ОПУБЛИКОВАНИЕ
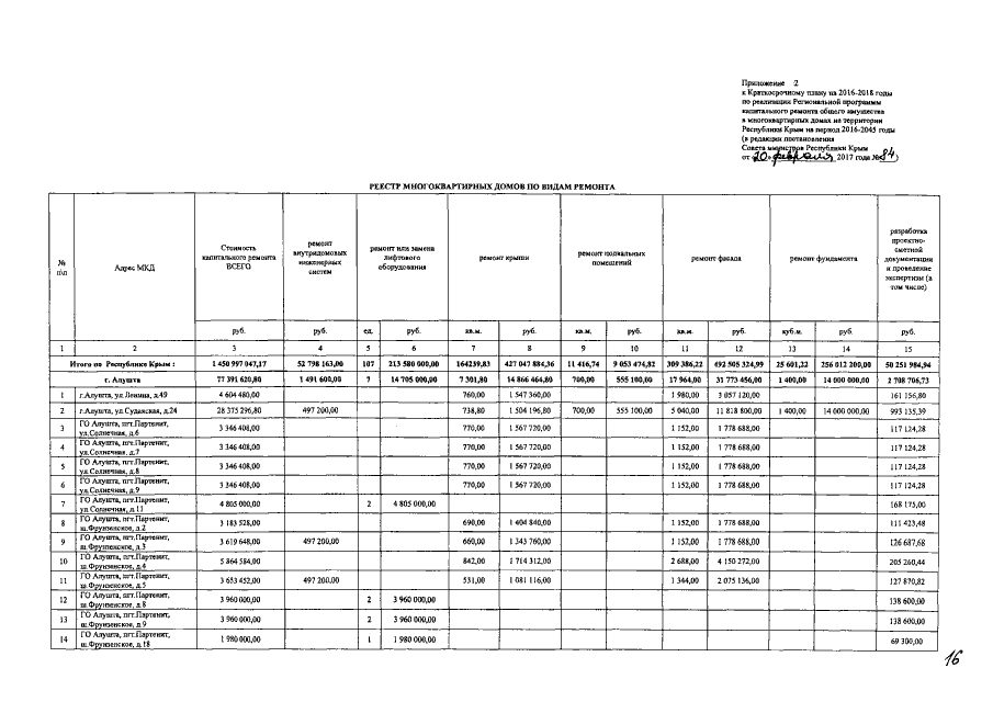
Постановление Совета министров Республики Крым от 20.02.2017 № 84
"О внесении изменений в постановление Совета министров Республики Крым от 21 декабря 2015 г. № 797"
Номер опубликования: 9100201702220001
Дата опубликования: 22.02.2017
Страница №16 из 29:
Увеличить