Официальное опубликование правовых актов
ОФИЦИАЛЬНОЕ ОПУБЛИКОВАНИЕ
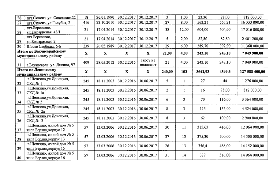
Постановление Совета министров Республики Крым от 01.02.2017 № 30
"О внесении изменений в постановление Совета министров Республики Крым от 9 сентября 2014 года № 320"
Номер опубликования: 9100201702020006
Дата опубликования: 02.02.2017
Страница №4 из 5:
Увеличить