Официальное опубликование правовых актов
ОФИЦИАЛЬНОЕ ОПУБЛИКОВАНИЕ
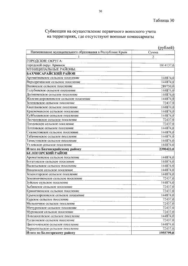
Закон Республики Крым от 28.12.2016 № 326-ЗРК/2016
"О бюджете Республики Крым на 2017 год"
Номер опубликования: 9100201701030039
Дата опубликования: 03.01.2017
Страница №401 из 431:
Увеличить