Официальное опубликование правовых актов
ОФИЦИАЛЬНОЕ ОПУБЛИКОВАНИЕ
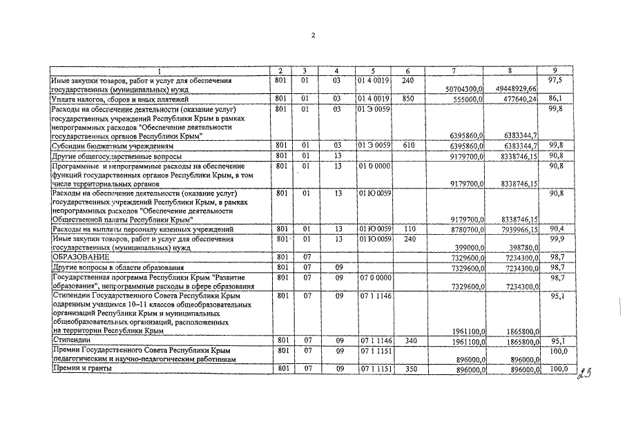
Закон Республики Крым от 01.07.2016 № 268-ЗРК/2016
"Об исполнении бюджета Республики Крым за 2015 год"
Номер опубликования: 9100201607110002
Дата опубликования: 11.07.2016
Страница №23 из 309:
Увеличить