Официальное опубликование правовых актов
ОФИЦИАЛЬНОЕ ОПУБЛИКОВАНИЕ
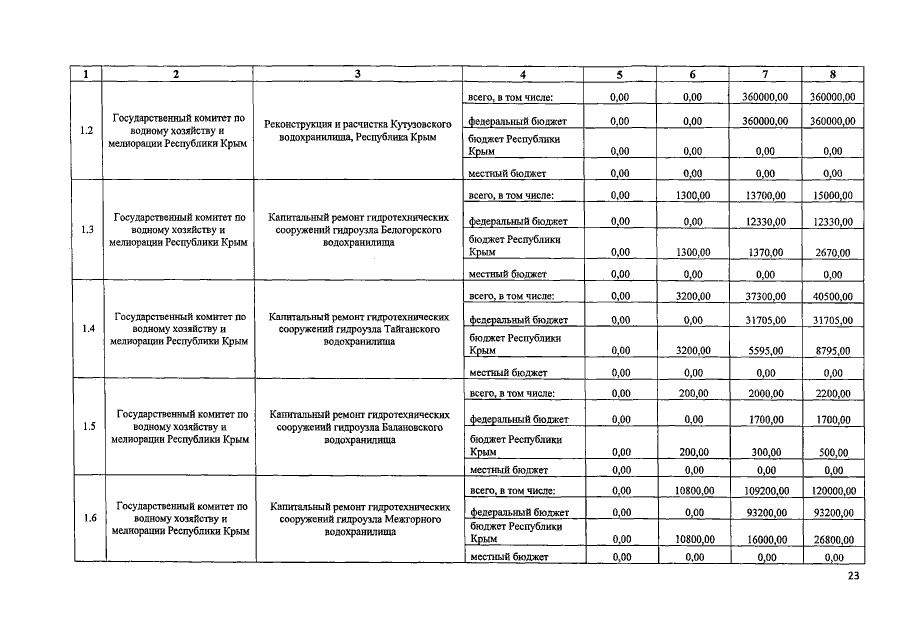
Постановление Совета министров Республики Крым от 22.12.2015 № 818
"О внесении изменений в постановление Совета министров Республики Крым от 23 декабря 2014 года № 539"
Номер опубликования: 9100201512280021
Дата опубликования: 28.12.2015
Страница №23 из 36:
Увеличить