Официальное опубликование правовых актов
ОФИЦИАЛЬНОЕ ОПУБЛИКОВАНИЕ
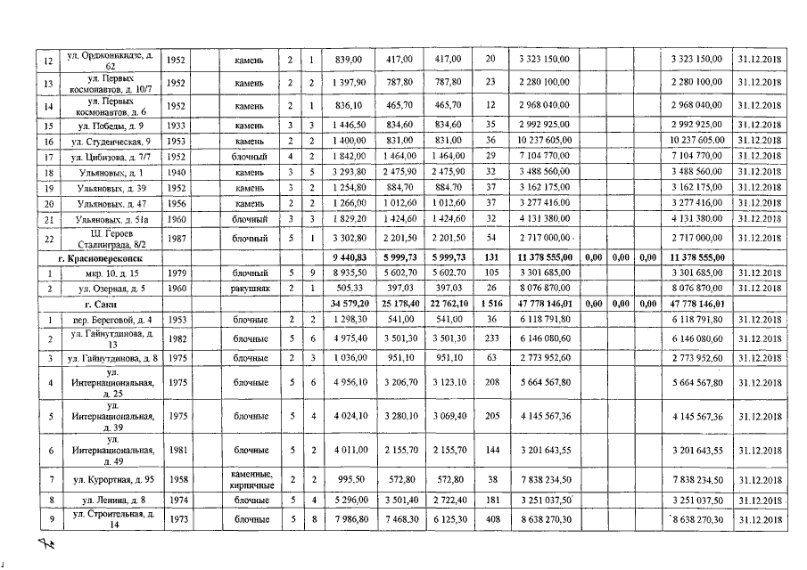
Постановление Совета министров Республики Крым от 21.12.2015 № 797
"Об утверждении краткосрочного плана на 2016-2018 годы по реализации Региональной программы капитального ремонта общего имущества в многоквартирных домах на территории Республики Крым на 2016-2045 годы, утвержденной постановлением Совета министров Республики Крым от 30 ноября 2015 года № 753"
Номер опубликования: 9100201512280014
Дата опубликования: 28.12.2015
Страница №9 из 35:
Увеличить