Официальное опубликование правовых актов
ОФИЦИАЛЬНОЕ ОПУБЛИКОВАНИЕ
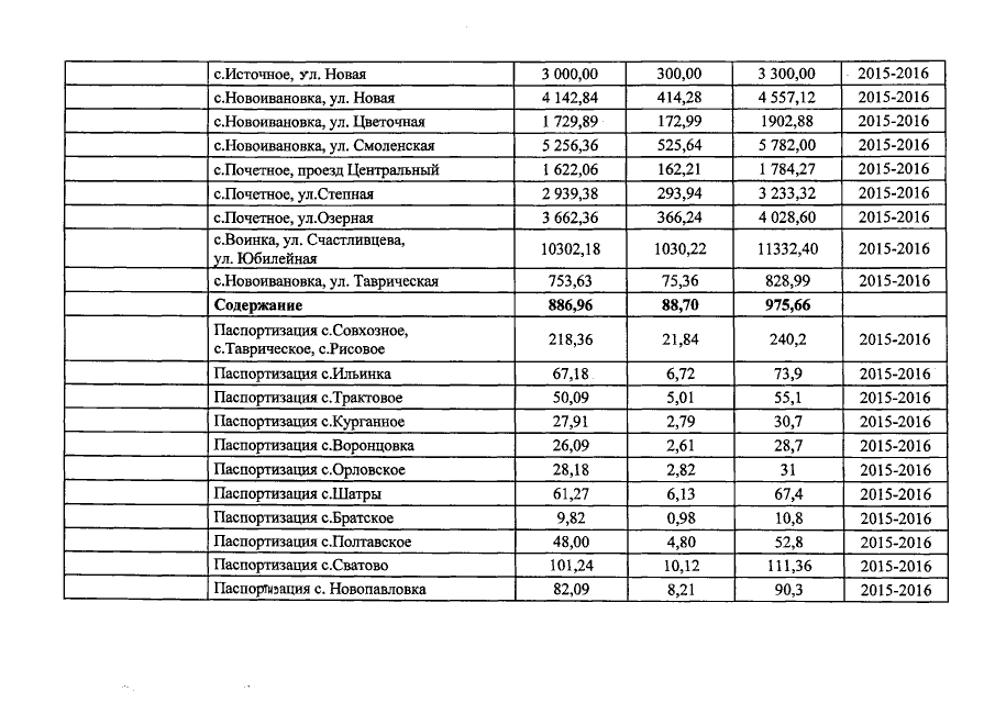
Постановление Совета министров Республики Крым от 17.12.2015 № 794
"О внесении изменений в некоторые постановления Совета министров Республики Крым и о некоторых вопросах дорожной деятельности"
Номер опубликования: 9100201512250001
Дата опубликования: 25.12.2015
Страница №36 из 42:
Увеличить