Официальное опубликование правовых актов
ОФИЦИАЛЬНОЕ ОПУБЛИКОВАНИЕ
Приказ Департамента имущественных отношений Ямало-Ненецкого автономного округа от 17.07.2025 № 289
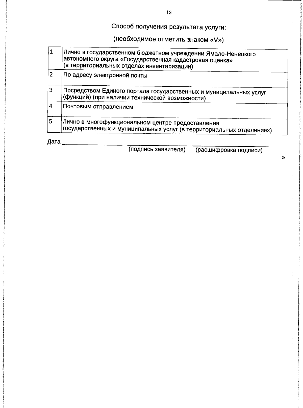
"О внесении изменений в Административный регламент государственного бюджетного учреждения Ямало-Ненецкого автономного округа "Государственная кадастровая оценка" по предоставлению государственной услуги "Предоставление копий технических паспортов, оценочной и иной хранившейся по состоянию на 01 января 2013 года в органах и организациях по государственному техническому учету и (или) технической инвентаризации учетнотехнической документации об объектах государственного технического учета и технической инвентаризации (регистрационные книги, реестры, копии правоустанавливающих документов и тому подобное) и содержащихся в них сведений"
(Зарегистрирован 22.07.2025 № 223)
Номер опубликования: 8901202507220001
Дата опубликования: 22.07.2025
Страница №15 из 15:
Увеличить