Официальное опубликование правовых актов
ОФИЦИАЛЬНОЕ ОПУБЛИКОВАНИЕ
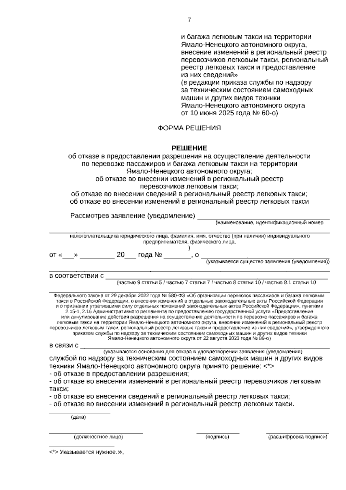
Приказ Службы по надзору за техническим состоянием самоходных машин и других видов техники Ямало-Ненецкого автономного округа от 10.06.2025 № 60-о
"О внесении изменений в некоторые приказы службы по надзору за техническим состоянием самоходных машин и других видов техники Ямало-Ненецкого автономного округа"
(Зарегистрирован 11.06.2025 № 149)
Номер опубликования: 8901202506120014
Дата опубликования: 12.06.2025
Страница №7 из 8:
Увеличить