Официальное опубликование правовых актов
ОФИЦИАЛЬНОЕ ОПУБЛИКОВАНИЕ
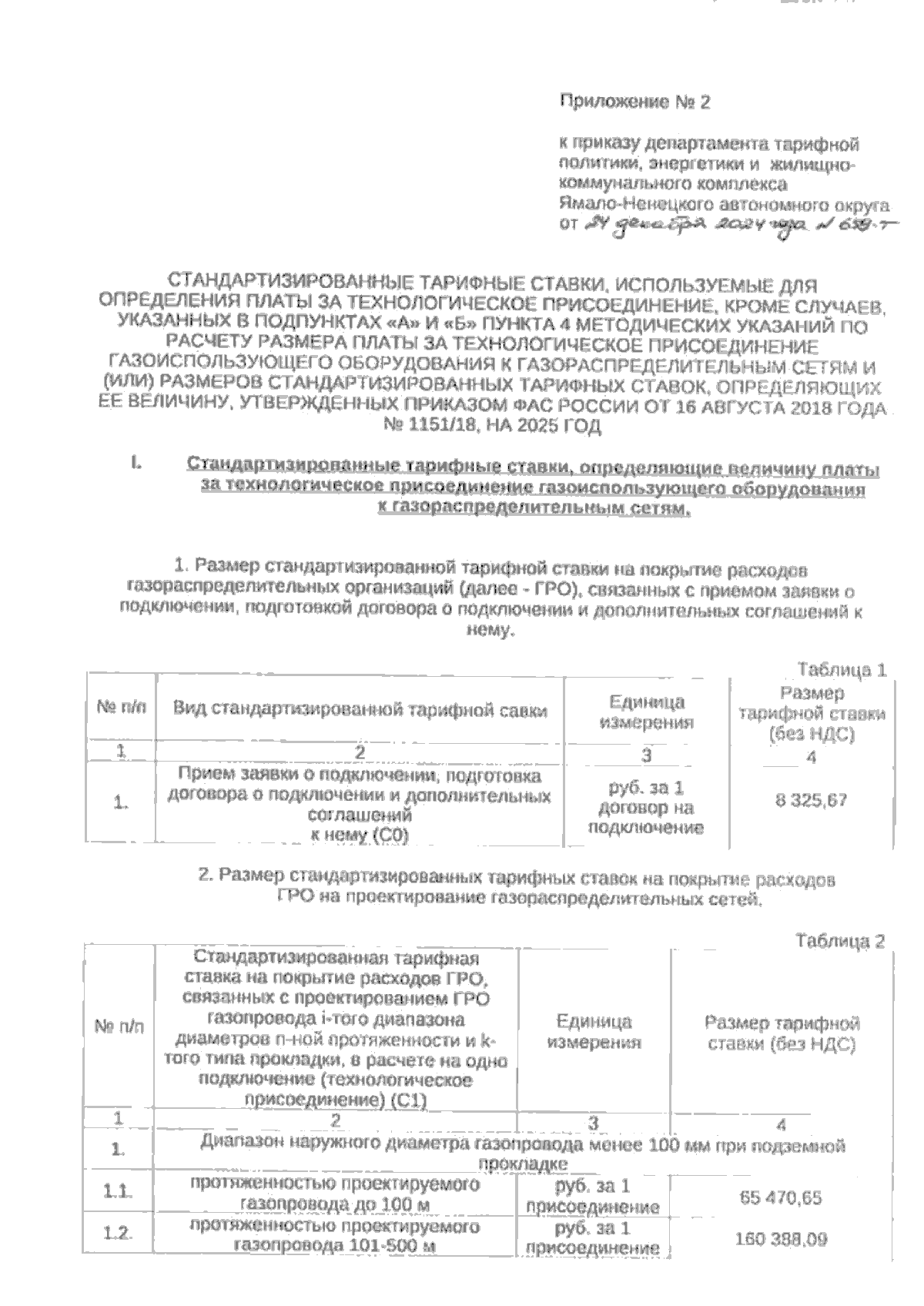
Приказ Департамента тарифной политики, энергетики и жилищно-коммунального комплекса Ямало-Ненецкого автономного округа от 24.12.2024 № 659-т
"Об установлении обществу с ограниченной ответственностью "Надымгоргаз" платы за технологическое присоединение газоиспользующего оборудования к газораспределительным сетям и стандартизированных тарифных ставок, определяющих ее величину, на 2025 год"
(Зарегистрирован 27.12.2024 № 665)
Номер опубликования: 8901202412270062
Дата опубликования: 27.12.2024
Страница №4 из 9:
Увеличить