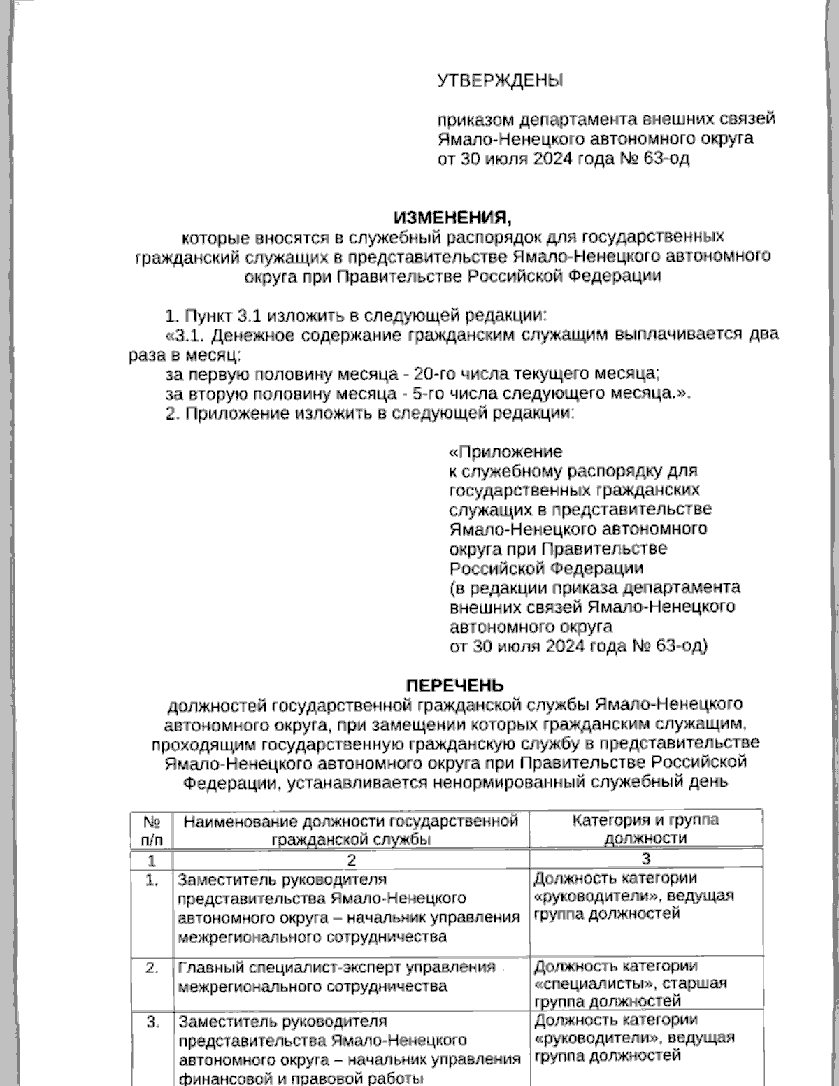
Приказ Департамента внешних связей Ямало-Ненецкого автономного округа от 30.07.2024 № 63-од
"О внесении изменений в служебный распорядок для государственных гражданских служащих в представительстве Ямало-Ненецкого автономного округа при Правительстве Российской Федерации"
(Зарегистрирован 30.07.2024 № 231)
"О внесении изменений в служебный распорядок для государственных гражданских служащих в представительстве Ямало-Ненецкого автономного округа при Правительстве Российской Федерации"
(Зарегистрирован 30.07.2024 № 231)
Номер опубликования: 8901202407310001
Дата опубликования:
31.07.2024
