Официальное опубликование правовых актов
ОФИЦИАЛЬНОЕ ОПУБЛИКОВАНИЕ
Постановление Избирательной комиссии Ямало-Ненецкого автономного округа от 28.04.2023 № 56/437-7
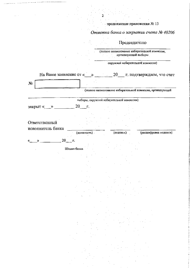
"Об утверждении Инструкции о порядке открытия и ведения счетов, учета, отчетности и перечисления денежных средств, выделенных из местного бюджета избирательной комиссии, организующей подготовку и проведение выборов в органы местного самоуправления на территории Ямало-Ненецкого автономного округа, другим избирательным комиссиям"
Номер опубликования: 8901202305020015
Дата опубликования: 02.05.2023
Страница №45 из 48:
Увеличить