Официальное опубликование правовых актов
ОФИЦИАЛЬНОЕ ОПУБЛИКОВАНИЕ
Приказ Департамента социальной защиты населения Ямало-Ненецкого автономного округа от 11.04.2022 № 55-ОД
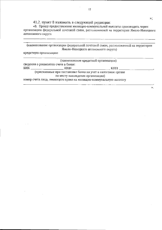
"О внесении изменений в Административный регламент департамента социальной защиты населения Ямало-Ненецкого автономного округа по предоставлению государственной услуги "Предоставление мер социальной поддержки по оплате жилого помещения и коммунальных услуг"
(Зарегистрирован 12.04.2022 № 146)
Номер опубликования: 8901202204180001
Дата опубликования: 18.04.2022
Страница №13 из 13:
Увеличить