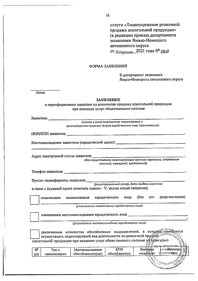
Приказ Департамента экономики Ямало-Ненецкого автономного округа от 11.03.2021 № 137-О
"О внесении изменений в приказ департамента экономики Ямало-Ненецкого автономного округа от 31 января 2019 года № 53-О"
(Зарегистрирован 16.03.2021 № 106)
"О внесении изменений в приказ департамента экономики Ямало-Ненецкого автономного округа от 31 января 2019 года № 53-О"
(Зарегистрирован 16.03.2021 № 106)
Номер опубликования: 8901202103160016
Дата опубликования:
16.03.2021
