Официальное опубликование правовых актов
ОФИЦИАЛЬНОЕ ОПУБЛИКОВАНИЕ
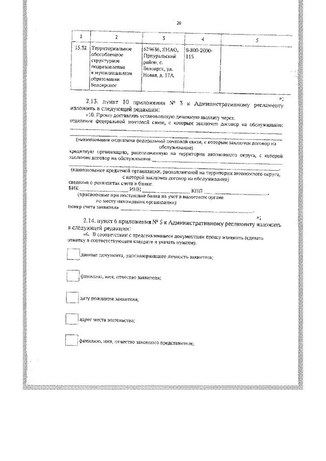
Приказ Департамента социальной защиты населения Ямало-Ненецкого автономного округа от 15.02.2021 № 44-од
"О внесении изменений в некоторые Административные регламенты департамента социальной защиты населения Ямало-Ненецкого автономного округа по предоставлению государственных услуг"
(Зарегистрирован 18.02.2021 № 53)
Номер опубликования: 8901202102180001
Дата опубликования: 18.02.2021
Страница №21 из 22:
Увеличить