Официальное опубликование правовых актов
ОФИЦИАЛЬНОЕ ОПУБЛИКОВАНИЕ
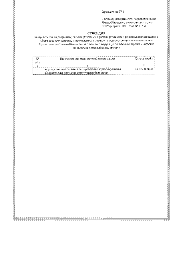
Приказ Департамента здравоохранения Ямало-Ненецкого автономного округа от 09.02.2021 № 113-О
"О предоставлении субсидий на иные цели в 2021 году"
(Зарегистрирован 10.02.2021 № 34)
Номер опубликования: 8901202102100004
Дата опубликования: 10.02.2021
Страница №6 из 15:
Увеличить