Официальное опубликование правовых актов
ОФИЦИАЛЬНОЕ ОПУБЛИКОВАНИЕ
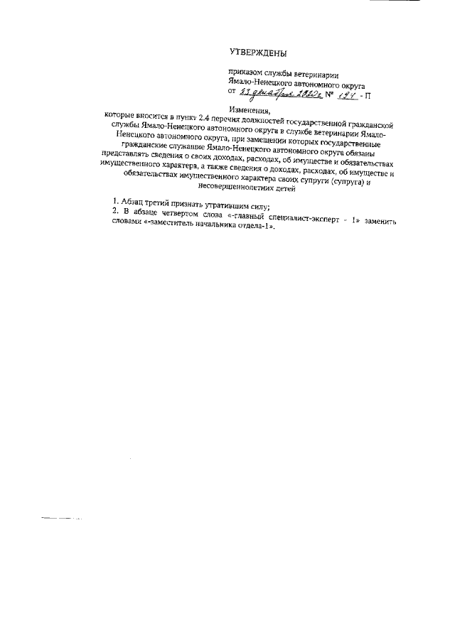
Приказ Службы ветеринарии Ямало-Ненецкого автономного округа от 23.12.2020 № 194-П
"О внесении изменений в пункт 2.4 перечня должностей государственной гражданской службы Ямало-Ненецкого автономного округа в службе ветеринарии Ямало-Ненецкого автономного округа, при замещении которых государственные гражданские служащие Ямало-Ненецкого автономного округа обязаны представлять сведения о своих доходах, расходах, об имуществе и обязательствах имущественного характера, а также сведения о доходах, расходах, об имуществе и обязательствах имущественного характера своих супруги (супруга) и несовершеннолетних детей"
(Зарегистрирован 25.12.2020 № 767)
Номер опубликования: 8901202012290005
Дата опубликования: 29.12.2020
Страница №2 из 2:
Увеличить