Официальное опубликование правовых актов
ОФИЦИАЛЬНОЕ ОПУБЛИКОВАНИЕ
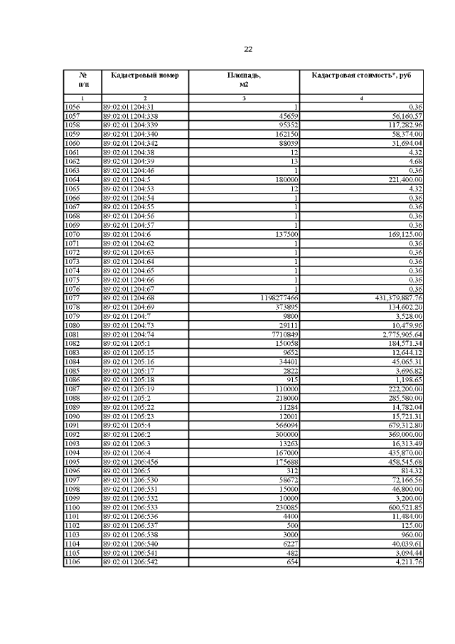
Приказ Департамента имущественных отношений Ямало-Ненецкого автономного округа от 26.11.2020 № 10-о
"Об утверждении результатов определения кадастровой стоимости земельных участков отдельных категорий"
(Зарегистрирован 29.11.2020 № 533)
Номер опубликования: 8901202011300016
Дата опубликования: 30.11.2020
Страница №23 из 2211:
Увеличить