Официальное опубликование правовых актов
ОФИЦИАЛЬНОЕ ОПУБЛИКОВАНИЕ
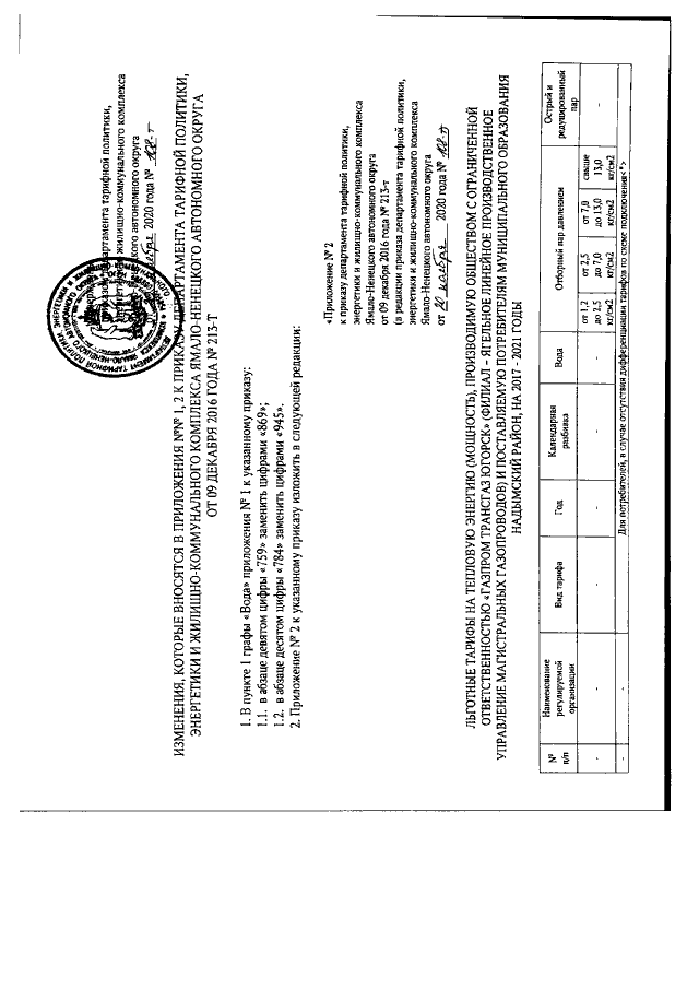
Приказ Департамента тарифной политики, энергетики и жилищно-коммунального комплекса Ямало-Ненецкого автономного округа от 20.11.2020 № 108-т
"О внесении изменений в приложения №№ 1, 2 к приказу департамента тарифной политики, энергетики и жилищно-коммунального комплекса Ямало-Ненецкого автономного округа от 09 декабря 2016 года № 213-т"
(Зарегистрирован 24.11.2020 № 476)
Номер опубликования: 8901202011240007
Дата опубликования: 24.11.2020
Страница №2 из 4:
Увеличить