Официальное опубликование правовых актов
ОФИЦИАЛЬНОЕ ОПУБЛИКОВАНИЕ
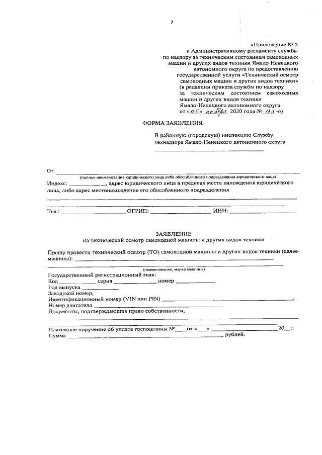
Приказ Службы по надзору за техническим состоянием самоходных машин и других видов техники Ямало-Ненецкого автономного округа от 05.11.2020 № 143-О
"О внесении изменений в приказ службы по надзору за техническим состоянием самоходных машин и других видов техники Ямало-Ненецкого автономного округа от 18 января 2019 года № 5-о"
(Зарегистрирован 06.11.2020 № 444)
Номер опубликования: 8901202011060001
Дата опубликования: 06.11.2020
Страница №7 из 8:
Увеличить